Dose-Response
Dose-Response Data Sample​
This table shows a sample of dose-response data.
- abs: Absorbance measurements
- names: Identifier names for each sample
- conc: Concentration values used in the test
| abs | names | conc |
|---|---|---|
| 0.5 | X1 | 0 |
| 0.2 | X2 | 0 |
| 0.01 | pos | 0 |
| 0.6 | neg | 0 |
| 0.4 | X1 | 0.5 |
| 0.2 | X2 | 0.5 |
| 0.01 | pos | 0.5 |
| 0.59 | neg | 0.5 |
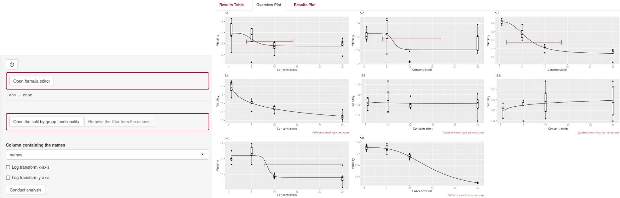
After specifying the formula and setting the column which contains the compound names the analysis can be conducted. Below is an example of the output of the dose-response analysis.
